Derivacija funkcije u točki $x$, oznaka $f ^{\prime} (x)$, je limes koji piše dolje u formuli. Napomenimo da $\Delta x$ predstavlja nekakvu promjenu od $x$-a, npr. od $2$ do $5$.
No mi ćemo više gledati drugu interpretaciju derivacije. Derivacija u točki je koeficijent smjera tangente na graf funkcije $f$ u toj točki. Sjetimo se da je tangenta pravac koji graf funkcije dira u samo jednoj točki i nastavlja dalje. Njezin koeficijent smjera, odnosno nagib, smo označavali s $k$.
Za funkciju ćemo reći da je derivabilna u točki ako postoji derivacija u toj točki. Ako derivacija postoji u svakoj točki na nekom intervalu, onda je ta funkcija derivabilna na intervalu. Time je definirana nova funkcija $f ^{\prime}$ koju zovemo derivacija funkcije $f$. Ukratko, sada smo samo rekli da kada kažemo "derivacija funkcije", opet očekujemo da ćemo dobiti kao rezultat nekakvu funkciju koja ovisi o $x$.
Formule
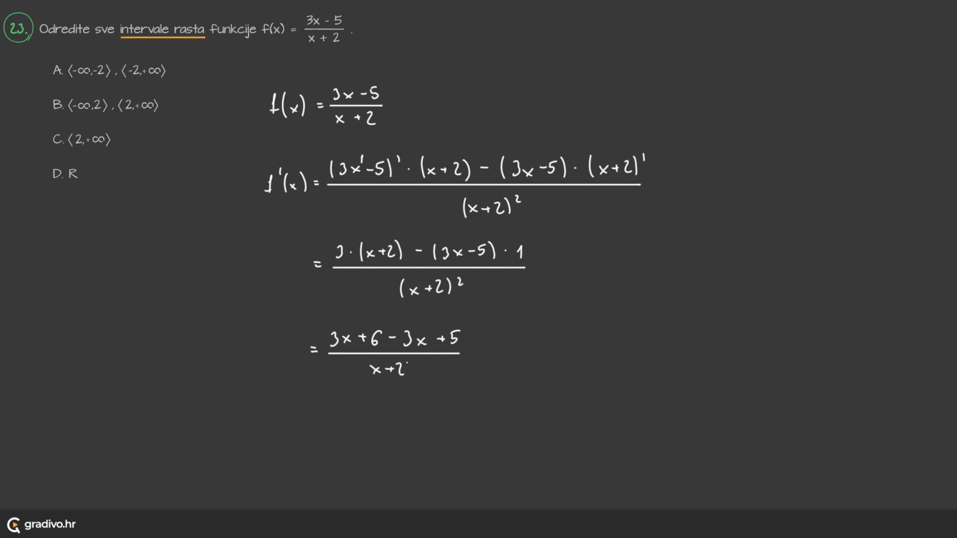
U svim daljnjim formulama, sa crticom van zagrade $()'$ označeno je deriviranje, $x$ je nepoznanica, $f$ i $g$ su funkcije, a slovima $a$, $b$, $c$ i $n$ neki realni brojevi.