Soli nemaju točnu kemijsku formulu, već formula predstavlja najmanji odmjer kationa i aniona unutar jedne jedinične ćelije. Pa tako oznaka NaCl označava da je odmjer kationa Na+ i aniona Cl- 1:1.
Formula NaCl ne označava molekulsku formulu, zato što to nije molekula već ionski skoj. Takva formula označava da se radi o jednoj formulskoj jedinki natrijeva klorida.
Pri sobnoj temperaturi, soli su čvrste tvari, relativno visokoga tališta i vrelišta. U čvrstome stanju ne provode električnu struju, dok taline i vodene otopine provode električnu struju. Većina je soli dobro topljiva u vodi, a vodene otopine soli mogu biti kisele, lužnate ili neutralne.
Postoji pet načina dobivanja soli. To su:
2K(s) + Cl2(g) → 2KCl(s)
Mg(s) + H2SO4(aq) → MgSO4(aq) + H2(g)
Bitno je za naglasiti da određeni
U koncentriranoj dušičnoj kiselini:
4HNO3(konc.) + Cu(s) → Cu(NO3)(aq) + 2NO2(g) + 2H2O(l).
U razrijeđenoj dušičnoj kiselini:
8HNO3(aq) + 3Cu(s) → 3Cu(NO3)2(aq) + 2NO(g) + 4H2O(l).
U koncentriranoj vrućoj sumpornoj kiselini:
Cu(s) + 2H2SO4(konc., vruća) → CuSO4(aq) + SO2(g) + 2H2O(l).
CuO(s) + H2SO4(aq) → CuSO4(aq) + H2O(l)
Ca(OH)2(aq) + CO2(g) → CaCO3(s) + H2O(l)
Mg(OH)2(aq) + 2HNO3(aq) → Mg(NO3)2(aq) + 2H2O(l)
Topljivost neke soli u vodi
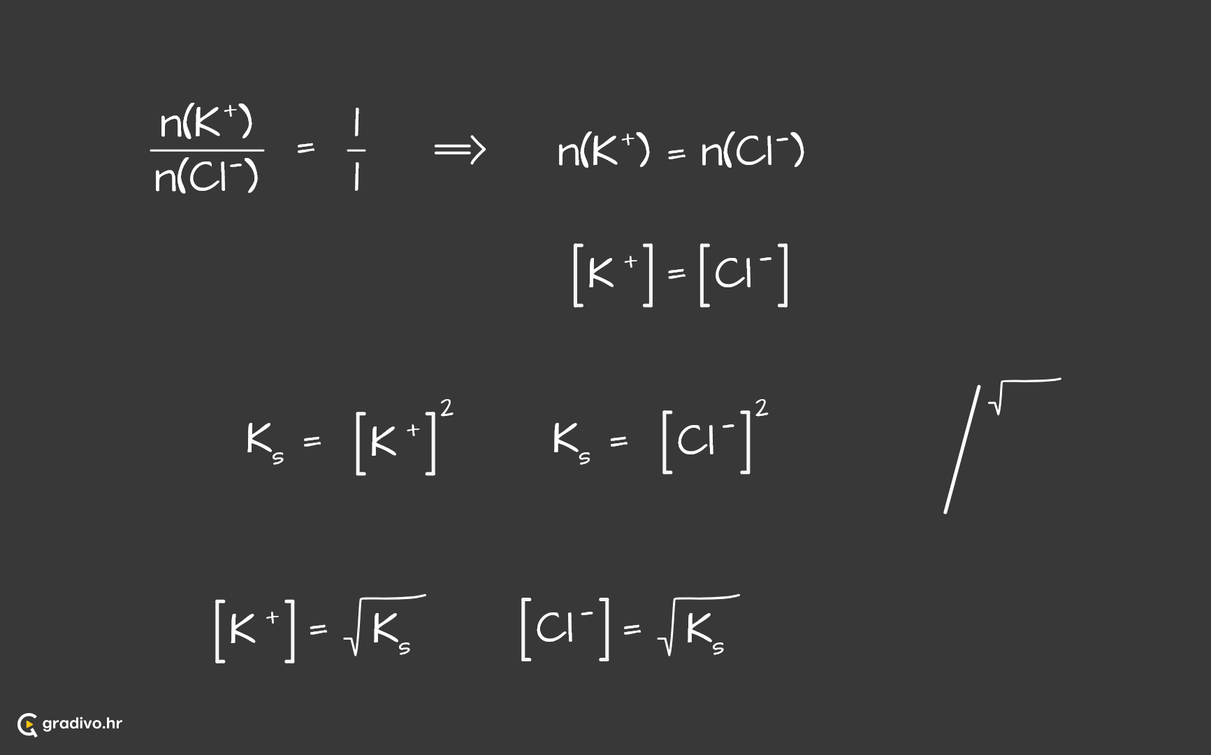
Kako je otapanje soli ravnotežan proces, tako je za tu reakciju moguće raspisati konstantu ravnoteže koju nazivano ravnotežna konstanta otapanja soli.
Pomoću tog izraza, ukoliko je poznata
Soli nastaju neutralizacijom. Neutralizacija se tako naziva jer se u molekuli vode spajaju hidroksidni (bazični) i vodikovi (kiseli) ioni. No pH vrijednost otopine neke soli ovisi o jačini njenih kationa i aniona pa, kao i u životu, vrijedi pravilo
Dakle
Da bi se mogao odrediti pH otopine određene soli, potrebno je poznavati koji su to kationi jakih baza, a koji su to anioni jakih kiselina.
U
U
Razlog različitih pH vrijednosti otopina soli jest
Jaki kationi i anioni ne hidroliziraju i ne reagiraju s molekulama vode jer u potpunosti disociraju, i njihova veza s vodom je isključivo fizikalna (ion -dipol).
Na sljedećem prikazu pokazano je kako hidrolizira sol koja sadrži kation slabe baze.
Na sljedećem prikazu pokazano je kako hidrolizira sol koja sadrži anion slabe kiseline.
Na sljedećem prikazu pokazano je kako hidrolizira sol koja sadrži i kation slabe baze i anion slabe kiseline.
Isprobaj potpuno besplatno!
Registracijom dobivaš besplatan*
pristup dijelu lekcija za svaki predmet.