Aldehidi i ketoni pripadaju skupini
Razlika između aldehida i ketona jest to što je jedan ogranak u aldehidnoj skupini ugljikovodični lanac, a drugi je atom vodika. U molekuli ketona, oba su ogranka ugljikovodični lanci.
Aldehidi se imenuju tako da se imenu osnovnog ugljikovodičnog lanca u koji je uključena aldehidna skupina dodaje nastavak
Smjer brojanja najduljeg lanca počinje ugljikovim atomom na kojeg je vezana aldehidna skupina.
Ketonima se na ime osnovnog ugljikovodika, lančastog ili prstenastog, koji sadržava karbonilnu skupinu, dodaje nastavak
Položaj karbonilne skupine na ugljikovodičnom lancu ili prstenu označava se brojem, a smjer brojenja lanca treba biti takav da ugljikov atom karbonilne skupine dobije što manji broj.
Ketoni se mogu imenovati i tako da se imena ugljikovodičnih ogranaka vezanih na karbonilnu skupinu navode abecednim redom ispred riječi keton. Ako je keton simetrično supstituiran, imenu se dodaje prefiks di-.
Uz sustavna imena za neke aldehide i ketone uobičajeno se koriste i trivijalna imena. Primjer tome jest propanon tj. aceton.
Aldehidi i ketoni nalaze se svuda oko nas. Primjer aldehida i ketona s jednom karbonilnom i čak pet hidroksilnih skupina jesu ugljikohidrati iz skupine monosaharida – glukoza i fruktoza.
Glukoza je
Molekule aldehida i ketona jesu polarne. Zbog toga su istovrsne molekule aldehida i ketona povezane
Zbog polarnosti karbonilne skupine, molekule aldehida ili ketona mogu se povezati s molekulama vode
Aldehidi i ketoni su
Tollensov reagens i Fehlingov reagrens tvari su pomoću kojih je moguće dokazati prisutnost aldehidne skupine.
U istim reakcijskim uvjetima
Redukcijom aldehida pripravljaju se primarni, a redukcijom ketona sekundarni alkoholi. Redukcija se provodi pomoću vodika te katalizatora i zbog toga se takva reakcija naziva
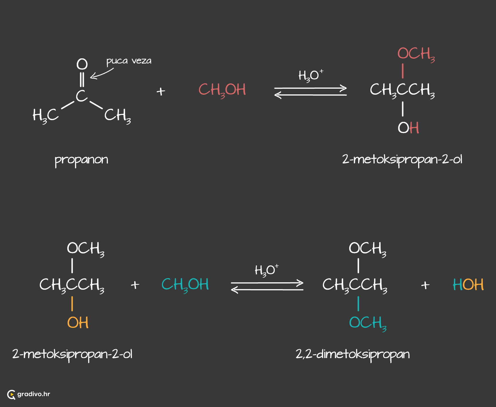
Reakcija ketona s alkoholima nastaju
Reakcija aldehida s alkoholima nastaju
Cijanhidrini su u prirodi prisutni u nekim vrstama voća, primjerice miris gorkog badema potječe od benzaldehida i njegova cijanhidrina.
Aldehide je moguće pripraviti
Kao oksidacijska sredstva, tvari koje se reduciraju, koriste se
Ono što se dešava prilikom oksidacije alkohola u aldehid jest
Primjena oksidacije primarnog alkohola u aldehid jest u
Ketone je moguće pripraviti
Kao oksidacijsko sredstvo često se koristi kromov(VI) oksid, a polureakcija redukcije jednaka je kao i kod aldehida.
Ono što se dešava prilikom oksidacije alkohola u keton jest, kao i kod aldehida,
Isprobaj potpuno besplatno!
Registracijom dobivaš besplatan*
pristup dijelu lekcija za svaki predmet.