Dodatnih 10 EUR POPUSTA na svaki predmet za maturu pri odabiru!
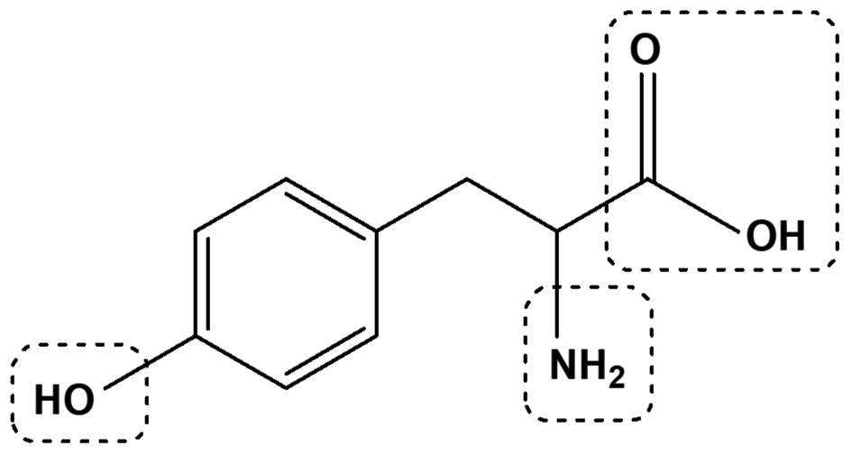
A. hidroksilna, amidna i karbonilna
B. hidroksidna, amidna i karboksilna
C. hidroksilna, amino- i karboksilna
D. hidroksidna, amino- i karbonilna
Isprobaj potpuno besplatno!
Registracijom dobivaš besplatan*pristup dijelu lekcija za svaki predmet.