Instrukcije
Pripreme za maturu
Online skripte
Besplatni materijali
Isprobaj besplatno
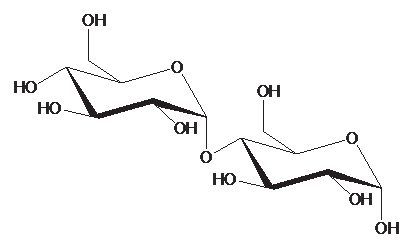
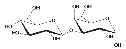
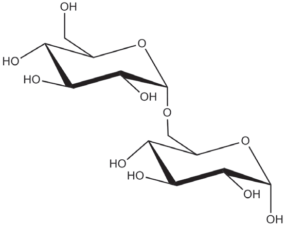
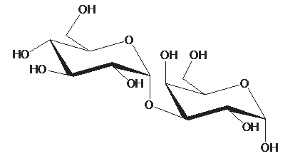
Kemija - 2017. jesen, 5.
Strukture različitih disaharida prikazane su na slikama. U kojoj od ponuđenih struktura postoji 1,4-glikozidna veza?
1 bod
Provjeri odgovore
Online pripreme za maturu i instrukcije za srednju školu. Dostupno 24/7.
Naša ponuda
Online instrukcije
Pripreme za maturu
Preuzmi sve mature
Besplatni materijali
Blog
Merch - eDrevnik i Tier listić
Online skripte
Kemija
Fizika
Matematika
Pravne stranice
Uvjeti korištenja
Politika privatnosti
© 2025, Gradivo.hr
Postavke kolačića
Isprobaj besplatno
ŠTO ČEKAŠ?
Isprobaj potpuno
besplatno!
Registracijom dobivaš besplatan*
pristup dijelu lekcija za svaki predmet.
*Besplatan pristup ne zahtijeva unos kartice.
ZA MATURANTE
Online pripreme
OD 1. DO 4. RAZREDA
Online instrukcije
0:00
Play
Mute
0%
0:00
/
0:00
|
Settings
Quality
Auto
Auto
Speed
Normal
0.25x
0.5x
0.75x
Normal
1.25x
1.5x
1.75x
2x
Enter Fullscreen