Rješavanje strujnog kruga podrazumijeva određivanje karakterističnih veličina (struje i napona) za svaki element tog strujnog kruga. Pritom koristimo pravila koja zovemo Kirchoffovi zakoni.
Mjesta na kojima se struja može granati nazivamo čvorovima. Ukupna jakost struje koja uđe u neki čvor jednaka je ukupnoj jakosti struje koja iz njega izlazi. Točnije, zbroj svih struja koje dođu na neki čvor jednak je zbroju svih struja koje iz njega izlaze. Ovo pravilo zovemo Kirchoffovim pravilom za struje i koristimo ga pri paralelnim spojevima gdje se struja može granati.
Na slici je prikazan primjer u kojemu su
Drugi Kirchoffov zakon odnosi se na napone koji se nalaze na krajevima trošila u zatvorenoj petlji (seriji). Ukupni pad napona u zatvorenoj petlji jednak je nuli. Točnije, zbroj napona koje očitavamo na krajevima pojedinog elementa koji se nalazi u seriji mora biti jednak naponu koji daje idealan izvor (baterija).
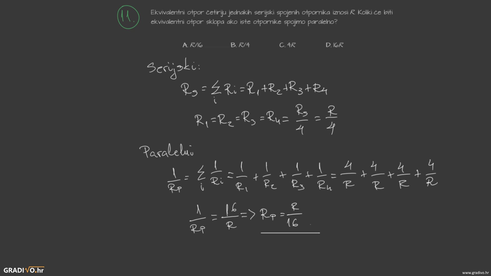
Veličine kojima opisujemo strujni krug s otpornicima su struja, napon i otpor. Ukupni otpor ovisi o načinu na koji spajamo otpornike. Kao i kod kondenzatora, razlikujemo dva načina spajanja:
Za razliku od kapaciteta u sustavu kondenzatora, pri serijskom spajanju otpornika povećavamo ukupni otpor strujnog kruga. U serijskom spoju kroz svaki otpornik teče struja \(I\) jednakog iznosa (analogno naboju kod kondenzatora).
Ukupni napon koji daje izvor jednak je zbroju napona na otpornicima u serijskom spoju i raspodijeljen je ovisno o otporu prema Ohmovu zakonu. Vrijedi:
Ukupni otpor jednak je zbroju otpora svih otpornika u seriji:
Paralelnim spojem otpornika smanjujemo ukupni otpor strujnog kruga. Kao i kod paralelnog spoja kondenzatora napon na izvoru jednak je naponu u svakoj grani strujnog kruga.
Ukupna struja \(I_{uk}\) koju daje izvor grana se i vrijedi:
Ukupni otpor u paralelnom spoju otpornika računamo po formuli:
Na slici je prikazan primjer kombiniranog spoja. Otpor u grani s otpornicima \(R_2\) i \(R_3\) računamo po formuli za serijski spoj. Ukupni otpor dobivamo po formuli za paralelni spoj u kojemu su \(R_{serijski}\) i \(R_1\).
Mjerni instrumenti kojima možemo odrediti vrijednost struje i napona na jednom ili više elemenata u strujnome krugu su ampermetar i voltmetar. Ampermetar je mjerni instrument koji spajamo serijski elementu kako bismo odredili kolika struja teče kroz pripadnu granu (petlju). Voltmetar je element kojim mjerimo vrijednost napona na nekom elementu ili dijelu strujnoga kruga i spajamo ga paralelno elementu na kojemu želimo odrediti napon.
Shematski prikaz ampermetra.
Shematski prikaz voltmetra.
Na slici je prikazan strujni krug u kojemu su ispravno spojeni ampermetar i voltmetar kako bi odredili iznos napona i jakost struje kroz element (otpornik).
Isprobaj potpuno besplatno!
Registracijom dobivaš besplatan*
pristup dijelu lekcija za svaki predmet.