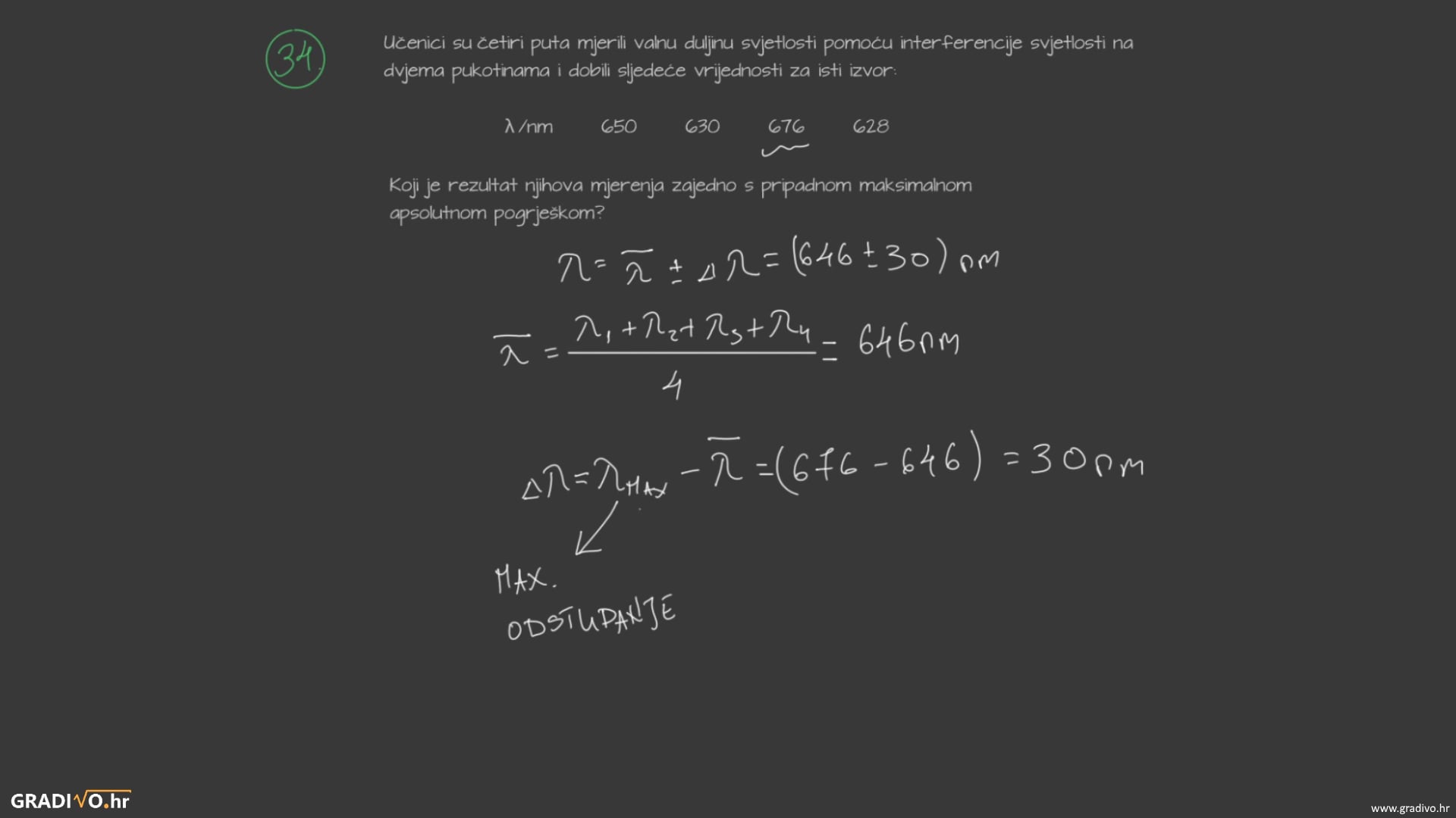
Pri određivanju vrijednosti neke fizikalne veličine koristeći veći broj mjerenja rješenje zapisujemo pomoću srednje vrijednosti i apsolutne pogreške. Srednja vrijednost je zbroj svih mjerenja podijeljen s brojem mjerenja:
Apsolutnu pogrešku \( \Delta x \) računamo kao apsolutnu vrijednost razlike najvećeg odstupanja od srednje vrijednosti i same srednje vrijednosti:
Bitno je znati da \(x_{max}\) ne predstavlja najveću izmjerenu vrijednost već najveće odstupanje od srednje vrijednosti.
Konačno rješenje zapisujemo u obliku:
U tablici su prikazana 4 mjerenja. Do srednje vrijednosti dolazimo zbrajanjem svih mjerenja i dijeljenjem s brojem 4. U ovom je slučaju \(x_{max}\) manji od \( \overline{x} \)
Isprobaj potpuno besplatno!
Registracijom dobivaš besplatan*
pristup dijelu lekcija za svaki predmet.