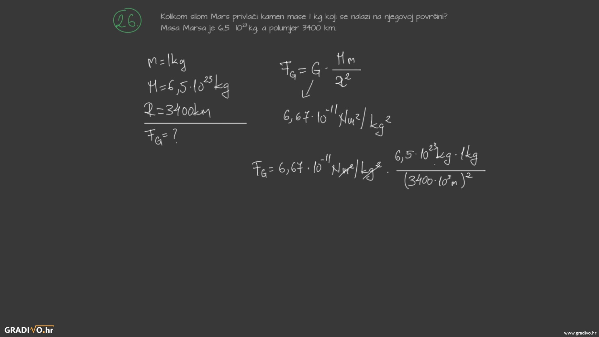
Prema trećem Newtonovom zakonu dva tijela međusobno se privlače silama \(F_1\) i \(F_2\) koje su suprotnog smjera ali jednakog iznosa. Tu privlačnu silu zovemo gravitacijska sila i ona je proporcionalna umnošku masa, a obrnuto proporcionalna kvadratu njihove udaljenosti.
Gravitacijska konstanta
Gravitacijska sila kojom Zemlja privlači tijelo mase \(m\) na svojoj površini jednaka je \(mg\). Iz toga možemo vidjeti da je gravitacijskog ubrzanje sile teže jednako:
gdje je \(R_z\) polumjer Zemlje i on iznosi oko 6400 km
Tijelo koje kruži oko Zemlje (na maloj visini) pod utjecajem gravitacijske sile giba se brzinom koju zovemo
Ulogu centripetalne sile ima gravitacijska sila. Iz toga slijedi:
Brzina koja je potrebna da bi se tijelo oslobodilo utjecaja Zemljine gravitacije (ili neke druge) zovemo
Planeti se oko Sunca gibaju po eliptičnim putanjama u čijem je zajedničkom žarištu Sunce.
Jednadžba putanje planeta jednaka je jednadžbi elipse.
Pri gibanju planeta oko Sunca vektor koji spaja Sunce i planet u jednakim vremenskim intervalima prebrisuje jednake površine.
Kvadrati ophodnih vremena (perioda kruženja) proporcionalni su kubovima velikih poluosi elipse.
Isprobaj potpuno besplatno!
Registracijom dobivaš besplatan*
pristup dijelu lekcija za svaki predmet.